
根据教育部统一部署,江西作为全国第四批启动高考综合改革的7省(区)之一,2024年将首次迎来新高考。
“再选科目”“等级赋分”是新高考考生遇到的新名词,再选科目如何计分?等级赋分有哪些规则?一起来了解吧↓↓↓
改革后,高校将指定专业录取时的选考科目要求,会使得符合高校专业选考科目要求但再选科目不同的考生竞争同一高校的同一专业,不同学科试题难度差异和报考相应学科的考生群体不同,选考科目的原始分不具有可比性,不能简单用原始卷面分进行比较。
甲、乙考生都报考A大学某专业且均符合该专业选考科目要求,但考生甲选考思想政治,考生乙选考化学,两人都考了80分,考生甲排在所有选考思想政治考生的第100位,考生乙排在所有选考化学考生的第1000位。若简单将他们各科成绩相加计入考生总成绩并进行比较,既不科学也不公平。因此,需要将不同科目的卷面分按照等级赋分方法换算为等级分,转换后考生在选考科目中成绩排序不变,以解决选考科目的卷面分不具有可比性的问题。
等级赋分能够保持每门再选科目内考生成绩排名顺序与原始分数排名顺序不变,最大限度保证考生成绩具有良好的区分度,满足高校人才选拔和投档录取需要,确保普通高校招生录取公平公正。
根据我省新高考规则,再选科目思想政治、地理、化学、生物学以转换后的分数计入高考总成绩,满分为100分。
每科在转换时,以30分作为等级转换的赋分起点,将考生每门再选科目考试的原始成绩从高到低划定为A、B、C、D、E五等,各等级人数所占比例分别为15%、35%、35%、13%和2%。
转换时,将A至E等级内的考生原始成绩,分别转换到100~86分、85~71分、70~56分、55~41分、40~30分五个等级分数区间,根据转换公式计算,四舍五入取整得到考生的等级转换成绩。转换基数为实际参加该再选科目考试并取得有效成绩的人数。再选科目成绩计入高考总成绩的等级比例和赋分区间如下:
Y1、Y2分别表示某等级原始分数区间的下限和上限;T1、T2分别表示相应等级赋分区间的下限和上限;Y表示考生的原始成绩,X表示考生转换后的等级成绩。考生原始成绩正好为原始分数区间上限或下限时,不需要按转换公式计算,相应的赋分区间的上限或下限分数即为该考生的等级成绩。
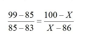
考生小李的化学科目原始成绩为85分,在当年全省参加该科目考试的考生中位于前15%内,根据等级比例和赋分区间图,该成绩位列A等级,该等级的赋分区间为100-86分。根据考生原始成绩的分布,可知A等级的原始卷面分数区间(假设为99-83分),那么小李化学科目的赋分成绩(X)可通过如下公式计算:
由上可知,X=88(四舍五入取整),这就是小李的化学科目赋分成绩。
高考成绩公布时,考生查询到的再选科目成绩是等级赋分后的成绩,不需要考生自行转换。